
清晨的第一缕阳光穿透窗帘,温暖抚过肌肤;夜晚的灯光照亮书桌,陪伴我们度过静谧时光。光,作为宇宙中最常见的存在,早已融入人类生活的每一个瞬间。即便是无法用眼睛感知光明的盲人,也能通过皮肤感受阳光的温热,通过声波的反射间接感知光影的变化 —— 光以热辐射、电磁波等多种形式,持续滋养着地球上的生命。
然而,当我们习以为常地享受光的馈赠时,很少有人会追问:构成光的基本粒子 —— 光子,究竟是否拥有静止质量?
这个看似抽象的物理问题,似乎与普通人的生活毫无关联,更像是物理学家们在实验室里钻研的 “冷门课题”。但事实恰恰相反,光子静止质量的数值,不仅关乎现代物理学两大支柱理论的根基,更可能改写人类对宇宙本质的认知。
物理学的核心框架,始终建立在一个关键假说之上:光子的静止质量严格为 0。高中物理教材清晰地告诉学生,光子是无静止质量的粒子;大学物理专业的课堂上,教授会进一步解释:光子的静止质量为 0 是理论推导的必然结果,因为光子自诞生起就以光速运动,永远不会处于静止状态。但这一假说背后,隐藏着一个耐人寻味的矛盾:光子作为基本粒子,兼具波粒二象性 —— 粒子性意味着它是物质的基本单元,而物质在哲学和物理学意义上,理应同时包含质量与能量两个核心属性。
那么,光子真的不存在静止状态吗?如果它永远处于运动中,我们为何要执着于测量其 “静止质量”?倘若光子的静止质量并非为 0,哪怕只是一个极其微小的数值,会给整个物理学界带来怎样的连锁反应?从麦克斯韦电磁场理论到爱因斯坦的狭义相对论,从电磁力的作用规律到宇宙天体的运行机制,是否都会因此被颠覆?这一系列问题,正是近百年来物理学家们持续探索的核心,也是本文将要深入探讨的科学谜题。
要理解光子静止质量的重要性,首先需要回溯现代物理学的理论源头。十九世纪中叶,英国物理学家麦克斯韦创立了电磁场理论,通过一组简洁优美的方程组,统一了电现象与磁现象,预言了电磁波的存在,并证明电磁波的传播速度与当时测量的光速相等,从而揭示了 “光就是一种电磁波” 的本质。
在麦克斯韦方程组中,真空中的光速 c 是一个恒定不变的常量,其数值为 299792458 m/s(约 30 万公里 / 秒)。
这一结论意味着,无论电磁波的频率、波长如何变化,它在真空中的传播速度始终保持一致。这一理论的提出,不仅奠定了现代电磁学的基础,更成为后来爱因斯坦创立狭义相对论的重要前提。
1905 年,爱因斯坦在《论动体的电动力学》中提出狭义相对论,其中两大基本原理 —— 相对性原理和光速不变原理,共同构建了全新的时空观。光速不变原理明确指出:真空中的光速对任何惯性系中的观测者来说,都是相同的,与光源和观测者的相对运动无关。而这一原理的成立,必须以 “光子静止质量为 0” 作为逻辑支撑。
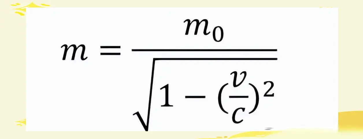
根据狭义相对论的运动质量公式:
其中,m 为物体的运动质量,m₀为静止质量,v 为物体运动速度,c 为真空中的光速。当物体的运动速度 v 趋近于 c 时,分母√(1 - v²/c²) 会趋近于 0。若光子的静止质量 m₀不为 0,哪怕是一个极小的数值,其运动质量 m 也会趋近于无穷大。这与现实中光子拥有有限能量和动量的事实矛盾,因此,狭义相对论的逻辑体系要求光子的静止质量必须严格为 0。
与此同时,电磁学中的库伦定律、高斯定律等核心规律,也依赖于 “光子静止质量为 0” 的假设。库伦定律指出,两个点电荷之间的静电力与它们的电荷量乘积成正比,与距离的平方成反比 —— 这一 “平方反比律” 的成立,前提是电磁力是一种长程力。而如果光子拥有静止质量,电磁力的作用范围将变得有限,平方反比律会出现偏差,整个电磁学的理论框架都需要重新修正。
从理论层面看,“光子静止质量为 0” 似乎是不容置疑的结论。但科学的进步,往往始于对 “理所当然” 的质疑。物理学家们发现,麦克斯韦方程组和狭义相对论对光子静止质量的要求,本质上是一种 “理论假设”,而非经过实验绝对证实的事实。为了追求科学的严谨性,必须通过实验手段,对光子的静止质量进行精准测量 —— 这不仅是对一个物理量的探测,更是对现代物理学理论根基的一次终极检验。
测量光子的静止质量,堪称物理学界最具挑战性的实验之一。首先,光子始终以光速运动,人类无法捕捉到一个 “静止的光子”,更无法将其放在天平上直接测量;其次,光子的静止质量即便存在,也必然极其微小,远超现有常规测量仪器的探测极限。近百年来,物理学家们通过直接测量与间接推导相结合的方式,不断逼近这一终极答案,上演了一场跨越世纪的科学探索。
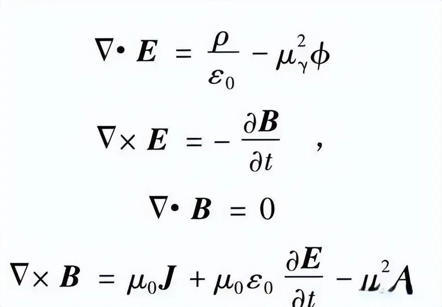
20 世纪初,随着量子力学的诞生,物理学家们开始尝试通过理论推导和间接实验,寻找光子静止质量的线索。1930 年,物理学家普罗卡(Proca)提出了重电磁场理论,建立了著名的 Proca 方程组。
这一方程组是麦克斯韦方程组的推广形式,当光子的静止质量 mᵧ=0 时,Proca 方程组就退化为麦克斯韦方程组;若 mᵧ≠0,则方程组会出现额外的项,描述光子拥有静止质量时的电磁相互作用。
Proca 方程组的提出,为测量光子静止质量提供了重要的理论依据。物理学家们意识到,通过检验电磁现象是否符合麦克斯韦方程组的预测,就能间接判断光子的静止质量是否为 0。例如,根据 Proca 理论,若光子拥有静止质量,电磁波的传播速度会与频率相关 —— 频率越低的电磁波,传播速度越慢,这一现象被称为 “真空色散”。因此,观测遥远天体发出的电磁波是否存在色散,就成为间接测量光子静止质量的重要方法。
1941 年,物理学家贝特和皮尔斯通过分析蟹状星云发出的射电波,首次对光子静止质量进行了间接限制。蟹状星云距离地球约 6500 光年,其中心的中子星会发出不同频率的射电波。如果光子拥有静止质量,不同频率的射电波到达地球的时间会存在差异。贝特和皮尔斯通过测量不同频率射电波的到达时间差,计算出光子静止质量的上限约为 10⁻⁴⁸g。这一结果虽然精度较低,但开启了光子静止质量实验测量的先河。
此后数十年间,物理学家们通过多种间接方法不断改进测量精度:利用地球磁场的磁场强度分布、分析行星际磁场的影响、观测太阳风的电磁特性等,将光子静止质量的上限不断压低。到 20 世纪末,通过对木星磁场的观测,科学家们将光子静止质量的上限限制在 10⁻⁵⁰g 量级 —— 这一数值已经极其微小,但距离理论预测的探测极限仍有差距。
21 世纪初,中国科学院院士罗俊率领华中科技大学引力实验中心团队,采用直接测量的方法,在光子静止质量测量领域取得了突破性进展,将测量精度推向了新的高度。
罗俊团队的实验核心,是一台自主设计的 “动态扭秤调制实验装置”。这台仪器的设计思路,源于对电磁相互作用与宇宙矢势关系的深刻理解:根据 Proca 理论,若光子拥有静止质量,宇宙中会存在 “宇宙矢势”,而扭秤内部的磁场会与宇宙矢势发生相互作用,产生一个微小的力矩,导致扭秤发生偏转。通过测量这一偏转角度,就能间接计算出光子的静止质量。
要实现这一测量,必须克服一系列极端挑战:
环境干扰的消除:实验装置被安置在大山深处的地下山洞中,通过多重减震和电磁屏蔽,隔绝地面振动、外界电磁场的干扰;超高真空环境的构建:容器内部被抽成 2×10⁻⁵Pa 的高度真空,相当于地球表面大气压的 2×10⁻¹⁰倍,避免空气粒子对扭秤的碰撞影响;超精密扭丝的制备:扭秤的核心部件是一根直径仅 25μm(约为头发丝直径的 1/4)、长度为 90cm 的涂钍钨丝,其转动惯量误差小于 3ppm(百万分之三),确保扭秤能够对微小力矩做出响应;信号的精准探测:采用激光干涉仪等高精度测量设备,实时监测扭秤的偏转角度,其测量精度可达纳米级。2003 年,罗俊团队通过第一阶段实验,成功将光子静止质量的上限确定为 1.2×10⁻⁵¹g—— 这一数值比此前的间接测量结果精度提高了一个数量级。2006 年,团队对实验装置进行了全面改进,优化了扭秤的结构设计和测量系统,将光子静止质量的上限进一步压低到 1.5×10⁻⁵²g。这一结果被国际基本粒子物理数据组(PDG)收录,成为电磁学和量子力学研究的重要参考标准。
罗俊团队的实验,不仅展现了中国在引力物理和精密测量领域的领先水平,更让人类向光子静止质量的终极答案又迈进了一步。但需要明确的是,这一结果仍然是 “上限值”—— 它意味着光子的静止质量不可能超过这个数值,但并没有证明光子的静止质量 “不为 0”。
除了罗俊团队的工作,国际物理学界的探索从未停止。近百年来,科学家们采用多种实验方法,从不同角度对光子静止质量进行测量:
实验室直接测量:除了动态扭秤法,还包括微波谐振腔法、核磁共振法等,通过探测电磁场的微小变化,推导光子静止质量的上限;天体物理观测:通过分析脉冲星的电磁辐射、宇宙微波背景辐射、星系际磁场等,利用天体尺度的电磁现象,间接限制光子静止质量;理论推导与实验结合:结合量子场论、广义相对论等理论,通过对基本物理常数的精确测量,为光子静止质量设定更严格的限制。截至目前,全球范围内最精确的测量结果,已经将光子静止质量的上限逼近到 10⁻⁶⁰g 量级,距离海森堡测不准关系所设定的 10⁻⁶⁶g 最低可探测极限,仅相差 6 个数量级。这意味着,人类的测量精度已经达到了前所未有的水平,但要最终确认光子静止质量是否为 0,仍需跨越最后的技术鸿沟。
如果未来的实验能够证实光子的静止质量不为 0,哪怕只是一个比 10⁻⁶⁶g 稍大的微小数值,都将引发物理学界的 “地震”—— 从狭义相对论到麦克斯韦电磁理论,从基本粒子物理到宇宙学,几乎所有与光子相关的理论体系都将面临重构。
狭义相对论的核心支柱之一是光速不变原理,而这一原理的成立,完全依赖于 “光子静止质量为 0” 的假设。
如果光子拥有静止质量,根据狭义相对论的运动质量公式,光子的运动质量将趋于无穷大,这与光子具有有限能量的事实矛盾;同时,不同频率的光子将拥有不同的传播速度,光速不再是一个恒定的常量,而是会随频率变化 —— 这意味着光速不变原理将不再成立。
更严重的是,狭义相对论所构建的时空观也将受到挑战。时间膨胀、长度收缩、质能方程 E=mc² 等经典结论,都是基于光速不变原理推导得出的。如果光速不再恒定,这些结论都需要重新修正,甚至可能被全新的理论所取代。值得一提的是,爱因斯坦在晚年创立的广义相对论中,并未严格要求光子静止质量为 0—— 广义相对论的引力场方程允许光子拥有微小的静止质量,这为未来的理论重构留下了一丝空间。
麦克斯韦方程组作为电磁学的基石,其简洁优美的形式建立在 “光子静止质量为 0” 的前提上。如果光子拥有静止质量,麦克斯韦方程组将不再适用,必须被 Proca 方程组所取代。这一变化将引发一系列连锁反应:
库伦定律的平方反比律将出现偏差,电磁力将从 “长程力” 变为 “短程力”,其作用范围会受到限制;电动力学的规范不变性将被破坏,电荷守恒定律可能不再严格成立;黑体辐射公式、电磁波的偏振特性等都将发生变化 —— 光子的偏振态将从 2 种增加到 3 种,出现一种无法被现有仪器探测到的 “纵光子”。这些变化不仅会改写电磁学的教材,更会影响到一系列依赖电磁理论的技术领域,从无线电通信到量子计算,从医疗器械到航天技术,都可能需要基于新的理论进行重新设计。
光子静止质量不为 0 的结论,还将对宇宙学和天体物理的研究产生深远影响。例如:
宇宙微波背景辐射:宇宙微波背景辐射是宇宙大爆炸后残留的电磁辐射,其频谱符合黑体辐射规律。如果光子拥有静止质量,其频谱特性将发生变化,这将改写我们对宇宙早期演化的认知;星系际磁场与宇宙结构:星系际空间存在着微弱的磁场,其形成和演化与光子的特性密切相关。如果光子拥有静止质量,星系际磁场的分布的分布规律将发生改变,进而影响宇宙中星系、星系团等大尺度结构的形成;天体辐射的观测解释:科学家们早已发现,一些遥远天体发出的电磁波存在微弱的色散现象。此前,这一现象被解释为星际介质的影响,但如果光子拥有静止质量,这也可能是光子本身的特性导致的 —— 这将为解读天体物理现象提供全新的视角。此外,光子静止质量的存在,还可能与磁单极子的存在、带电黑洞的稳定性等前沿问题相关联。磁单极子是理论预言中只带单一磁极的粒子,但其存在与否一直没有得到实验证实;而带电黑洞的稳定性,也依赖于电磁力的长程作用特性。如果光子拥有静止质量,这些问题都需要重新进行理论推导和实验验证。
光子作为基本粒子,其特性是粒子物理标准模型的重要组成部分。
粒子物理标准模型描述了自然界中四种基本相互作用(引力、电磁力、强相互作用、弱相互作用)以及所有已知基本粒子的特性。如果光子拥有静止质量,标准模型将需要进行重大修正:
基本粒子的分类和相互作用规律将发生变化,可能需要引入新的粒子或新的相互作用;希格斯机制的作用方式可能需要重新解释 —— 希格斯机制是标准模型中负责赋予基本粒子质量的机制,光子原本被认为不与希格斯场发生相互作用,因此静止质量为 0。如果光子拥有静止质量,说明它可能与希格斯场存在微弱的相互作用,这将为探索新物理提供重要线索;暗物质、暗能量等宇宙学谜题的解读,也可能因此获得新的突破。暗物质和暗能量占据了宇宙总质量的 95% 以上,但我们对其本质一无所知。如果光子拥有静止质量,可能与暗物质、暗能量存在某种关联,为解开这些谜题提供全新的思路。面对光子静止质量可能带来的颠覆性后果,有人会问:科学家们为何要执着于 “推翻” 现有的物理学体系?难道现有的理论不够完善、不够好用吗?
事实上,科学的本质并非固守已有的结论,而是在不断的质疑、验证和修正中,逼近对自然规律的真实认知。麦克斯韦电磁理论和狭义相对论之所以被称为 “伟大的理论”,并非因为它们绝对正确,而是因为它们能够精准解释迄今为止观察到的绝大多数物理现象,并指导人类取得了巨大的技术进步。但科学的探索永无止境,任何理论都有其适用范围,都可能在更精密的实验或更广阔的观测中暴露出局限性。
测量光子静止质量的过程,本质上是对现有物理理论的一次 “压力测试”。科学家们并非想要 “破坏” 现代物理学体系,而是希望通过最精密的实验,检验理论的严谨性和普适性。如果实验最终证实光子的静止质量严格为 0,那么现有的理论将得到进一步的巩固,我们对宇宙的认知将更加坚定;如果实验证实光子拥有微小的静止质量,那么我们将迎来一场物理学的革命,建立更完善、更普适的理论体系 —— 无论哪种结果,都是科学的巨大进步。
从科学史的角度看,这样的 “革命” 并非首次。牛顿经典力学曾被认为是描述宇宙的终极理论,但在 20 世纪初,爱因斯坦的相对论和量子力学的诞生,揭示了经典力学的局限性,将人类的认知带入了全新的领域。但这并不意味着牛顿力学被 “推翻”—— 在宏观、低速的场景下,经典力学仍然是极其精准、高效的工具。同样,即便未来麦克斯韦电磁理论和狭义相对论被修正,它们在现有适用范围内的正确性和实用性,仍然不会改变。
目前,光子静止质量的测量已经进入了 “极限挑战” 阶段。科学家们正在研发更精密的实验装置,探索更创新的测量方法,试图跨越最后的技术鸿沟:
实验室测量的突破:通过改进动态扭秤的结构设计,采用更细、更均匀的扭丝材料,优化真空系统和探测系统,进一步提高测量精度;同时,探索利用量子传感技术、纳米机械共振技术等新兴技术,开发全新的测量方案;天体物理观测的升级:随着詹姆斯・韦伯空间望远镜、平方公里阵列射电望远镜(SKA)等大型观测设备的投入使用,将能够对更遥远、更微弱的天体电磁辐射进行高精度观测,为间接测量光子静止质量提供更丰富的数据;理论与实验的深度融合:结合量子场论、弦理论等前沿理论,提出新的理论模型,为实验测量提供更明确的目标和指导;同时,通过对实验数据的深入分析,探索光子静止质量与其他基本物理常数之间的关联,为理论重构提供线索。可以预见,在未来数十年内,随着技术的不断进步和理论的持续发展,人类终将逼近光子静止质量的终极答案。无论这一答案是 “0” 还是一个微小的非零数值,都将是科学史上的重要里程碑 —— 它不仅会改写物理学的教材,更会重塑人类对宇宙本质的认知,为科技进步和文明发展开辟全新的道路。
公赢网配资提示:文章来自网络,不代表本站观点。